
Study finds peak physical ability around age 35, mirroring elite athletes
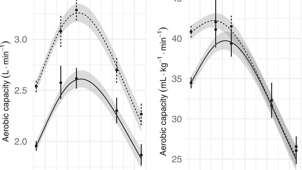
Karolinska Institute longitudinal study tracks more than 400 participants from adolescence to age 63, showing peak performance in mid-30s and a sharper decline after 40.

Karolinska Institute longitudinal study tracks more than 400 participants from adolescence to age 63, showing peak performance in mid-30s and a sharper decline after 40.

International Diabetes Federation renames a distinct, potentially malnutrition-linked diabetes as type 5, highlighting cases in young, underweight individuals and in low- and middle-income countries.

Jury finds Johnson & Johnson liable in talc-related cancer case as product line faced renewed scrutiny in ongoing litigation

Spanish researchers report mild cardiac hypertrophy and signs of cognitive decline in mice exposed to higher aspartame levels, prompting calls to review safety limits.

Private chemotherapy appointments rise as NHS misses cancer waiting-time targets, prompting patients to seek faster access through private care or private insurance.

CDC data show rising flu, RSV and COVID activity as holiday travel increases; New York City, Colorado and Louisiana report high levels amid a nationwide spread.

WeWard index links calories in Christmas staples to walking minutes, offering good news for champagne lovers

Genetics and environment may shape how people respond to crowds; a new category challenges the introvert–extrovert binary and could affect relationships and workplace dynamics.

Health factors like violence, pregnancy and mental health shape women's rough sleeping; charities say the problem is undercounted